近日,伟德BV1946材料学院安玉凯教授团队在国际物理重要期刊Applied Physics Letters发表题为“Tunable spin-valley states in collinear antiferromagnetic Janus Re2X3Y3(X, Y= I, Br, Cl; X≠Y) monolayers”的研究论文。材料学院材料物理专业21级本科生赵晓松为论文第一作者,通讯作者为安玉凯教授。

具有磁性有序的二维材料由于其非平凡的能带拓扑和自旋相关量子态而成为研究热点。该工作利用有效k · p和紧束缚近似模型成功地预测了共线反铁磁(AFM)Janus Re2X3Y3(X,Y=I,Br,Cl;X≠Y)单层的非常规自旋谷态。考虑自旋轨道耦合SOC效应,沿旋转轴具有内置电场的AFM Janus Re2X3Y3系统并不缺乏PT对称性,导致非高度自旋简并能谷的自发极化,这在二维AFM系统中很少报道。通过应变工程能有效地调控共线AFM Re2X3Y3六角晶格的谷极化,实现了二维AFM体系中应变与谷物理之间的强相关性以及有趣的单谷态。此外,二聚体亚晶格的独特对称性导致了不寻常的能带结构,进一步引发了有趣的Berry曲率分布(K/K'点为零),打破了之前只存在于双层系统中的理解。这为设计独特的拓扑与自旋电子学器件提供了新的物理机制。
论文信息:Xiaosong Zhao, Yukai An, Tunable spin-valley states in collinear antiferromagnetic Janus Re2X3Y3(X, Y= I, Br, Cl; X≠Y) monolayers, Applied Physics Letters 2025, 126, 212408. https://doi.org/10.1063/5.0272684

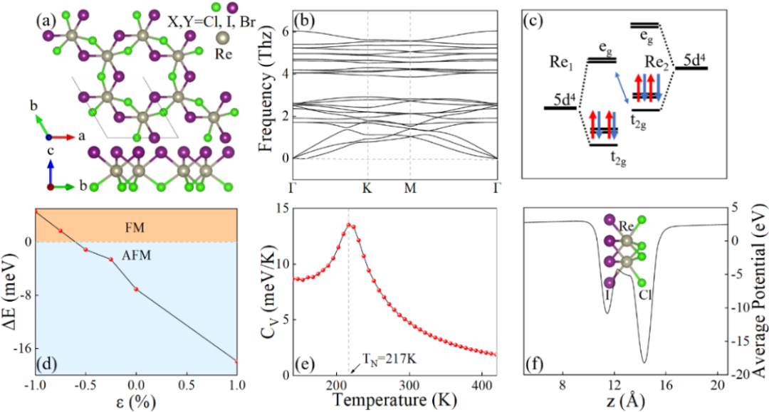
FIG. 1. (a) Top and side views of Re2X3Y3(X, Y=I, Br, Cl; X ≠ Y) monolayers. (b) Phonon dispersion spectrum of Re2I3Cl3monolayer. (c) Schematic diagram of octahedral Re 5d orbital splitting. (d) The strain ε dependences on magnetic exchange energy ΔE for the Janus Re2I3Cl3monolayer. (e) The temperature dependences on specific heat capacity and (f) average electric potential along z direction for the Janus Re2I3Cl3monolayer.


FIG. 2. The band structures of the Re2I3Cl3monolayer (a) without and (b) with considering SOC. For the conduction band,. (c) Schematic diagram of bulk bands around K and K' points. The red (blue) arrows indicate the up (down) spin. I represent FM state, while II, III, and IV represent AFM states under various strains.

FIG. 3. The band structures of the Re2I3Cl3monolayer at strains of (a) 2%, (b) -0.2%, (c) -0.25%, (d) -0.3%, (e) -0.5% and (f) -0.75% with SOC.

FIG. 4. (a) The calculated band structure of the Re2I3Cl3monolayer using MLWF. Berry curvatures of the (b) spin-up and (c) spin-down channels on the 2D BZ for the Re2I3Cl3monolayer. Berry curvatures on the (d) 2D BZ and (e) along the high symmetry line with SOC for the Re2I3Cl3monolayer. Berry curvatures on the 2D BZ at strains of (f) -0.25%, (g) -0.3%, and (h) -0.75% with SOC for the Re2I3Cl3monolayer.
初审:安玉凯
审核:彭程
审核发布:刘德宝 尚以迪